
On 14 March, 2022, China National Center for Food Safety Risk Assessment (CFSA) opened public comment for Arabinoxylan. The deadline for public comments is 14 April, 2022.
Details are as follows:
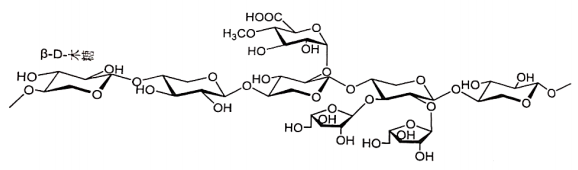
Name | Arabinoxylan |
Basic information | Structural formulas (fragment): CAS Reg. No. 9040-27-1 |
Brief introduction of production process | It is made from gramineous plants such as bagasse, wheat bran, corn husk, etc., through pretreatment, edible alkali extraction, dealkalization concentration, neutralization precipitation, washing purification, drying and other processes. |
Recommended daily amount | ≤15 g/ day (Based on the arabinoxylan content of 85 g/100 g, the content exceeding the actual content shall be converted) |
Other information | 1. The scope of use does not include infant and young children food. 2. See appendix for quality specifications and food safety indicators. |
If you have any needs or questions, please contact us at service@cirs-group.com.
For official info please click:


